大家好,这次要跟大家分享一个很炫酷的东西。我们要实现一个机器学习算法,这个算法可以通过观察屏幕,产生一系列操作,进而控制游戏,取得高分。
我们的目标
Atari是1972年成立的一家美国公司,主要做的是街机、家用电脑、家用游戏机。很多早期的经典游戏都是出自Atari,比如什么乒乓球、网球、各种弹珠游戏等等。我们今天要让机器来玩的游戏就是出自atari的游戏,名为breakout。这个游戏是基于乒乓球的玩法的一个游戏,与乒乓球不同的是,这个游戏可以由单人控制。相信只要是80后,肯定都玩过这个游戏。

OpenAI Environment
为了实现我们的机器学习算法,我们是否要自己实现一个这样的游戏呢?当然不必。
在去年11月的时候,由特斯拉汽车的创始人也是spaceX的创始人Elon Musk带头发起了一个叫OpenAI的项目,这个项目主要的目的是降低机器学习的门槛,让人工智能更容易上手和实现。于是他们做了一个开发库,可以方便开发者开发强化学习算法和比较、分享算法的结果。而这个项目在今年(2016)4月份就发布了第一个beta版本。
使用这个项目提供的开发库,我们可以方便的运行breakout这个游戏,并采集到相关的游戏数据。
通过下面的代码我们就可以运行一个breakout的环境,并随机进行操作来玩游戏。这里的breakout游戏每一局有5条命,分数累加。当球碰到顶上的墙壁砖块之后,砖块被击碎而消失,分数加一。虽然这样玩出来的得分是很低的,但是我们已经有了一个基础。
1 | import gym |

从上面的代码中,我们可以看到gym给我们提供的东西有:
- observation:这个返回的值就是屏幕的观察数据,是一个大小为(210, 160, 3)的三维矩阵,里面是每一个像素的rgb颜色值
- reward:得分,当球撞击到墙壁砖块之后,返回1,否则返回0
- env.action_space:我们可以进行的所有操作,这里将会返回一个Discrete(6),即离散的6个操作,大家可以认为这6个操作想象为,左加速移动,右加速移动,不动等
- env.step:执行一个操作,这个操作的值为0-5,即action_space中的某一个值
当我们有了这些数据的时候,我们事实上是有了什么呢?
- 当前游戏世界的状态
- 我们可以做的操作
- 一系列操作之后,我们可能会得到奖励,也就是得分
我们要解决的问题是什么呢?
问题就是,为了获取最大得分,我们如何在每一步选择正确的操作,即如何生成一系列的操作。关于操作的选择,就是策略。前面代码里面其实也是有策略的,我们的策略就是随机策略。我们的问题其实就是求最佳策略。
下面将向大家介绍强化学习的相关理论知识。
强化学习
马尔可夫决策过程
请看这个图:

这张图里面的过程我们就将其称为马尔可夫决策过程。
在马尔可夫决策过程中,有一个agent,它可以观察environment,并操作environment,environment在接受操作之后,会按照一定概率产生一个状态改变,并可能会有给agent奖励。当然environment可能自己有自己的运作规则,自己也会不停的产生状态改变。
数学模型
我们可以定义马尔可夫决策过程中的一些概念如下:
- S: 一个所有可能的状态集合,在breakout这个游戏中,状态就是屏幕的像素值集合
- A: 一个所有可能的操作的集合,在breakout这个游戏中,就是action_space中指明的6种操作
- P: 状态转移的可能性,即关于状态空间的一个概率分布,给定一个状态,P可以表示该状态可能会转到哪一个状态,以及以什么样的概率转移到那个状态。结合breakout游戏进行理解就是,当我们捕捉到一个游戏画面的时候,下一个画面(即下一个状态)可能有多种可能,这多种可能性会形成一个概率分布
- R: 一个状态对应的奖励,有可能会跟随一个动作。需要说明的是,当有一个关键动作时,通常不会立即有奖励,大家可以想象一下breakout这个游戏,在球撞击顶部的墙砖时,就有正向奖励产生,而得分的前一时刻可能是不需要有动作的,或者说动作就是不做任何事
这里比较重要的是状态和动作的转换关系。从一个状态开始,可以选择多种动作,一旦选择了某一个动作,这个动作可能导致的多种下一刻的状态。所以动作-状态-动作会形成一种树形的关系,如下图所示:

这棵树的某一个分支就形成一局游戏。
有了这些定义之后,我们如何衡量某一个状态的价值,或者如何定义某一个动作的价值呢?
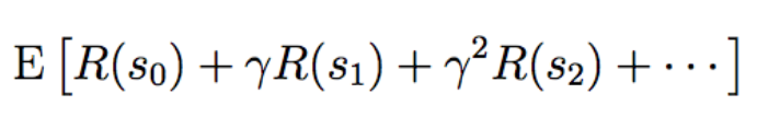
对某一局游戏,假设我们有一系列状态、动作和奖励,事实上我们可以定义状态和动作的价值如下:

从这个公式中,我们可以看出,当前状态和动作的价值不仅跟当前的价值R0相关,还跟将来的价值相关。比如买股票,你今天的投资价值,不仅仅取决于今天股票的涨幅,之后每一天的增长都是今天的投资所决定的。所以我们可以知道,当前的状态和动作的价值是当前得到的奖励和将来的潜在奖励的和。
公式中还有一个参数γ,表示折扣因子。为什么要这个折扣因子呢?经济学里面有一句话"A dollar today is worth more than a dollar tomorrow!",就是说今天的一美金比明天的一美金更值钱。我们可以这样理解,明天的价值是一个估计值,既然是估计值,那么就是不准确的,很有可能根本没这么多。对于钱而言,明天的钱还会贬值呢。所以在这个公式中,我们加上这个折扣因子,时间往后的价值需要乘以一个折扣因子的乘方,也就是说时间越久的价值对当前的价值贡献越小。
如果我们只对状态价值进行建模,我们可以得到这样的公式:

如何衡量一个状态的overall的价值呢?我们可以对每一种可能的游戏局求平均,也就是上面的公式的期望值。

思考一下我们的问题,现在我们可以定义一个状态的价值了,一个状态的价值大,说明这个状态是一个好状态,我们就要让我们的策略向好的状态方面靠。似乎有了一些解决问题的思路了。
我们更进一步,从策略着手来分析这个问题。
策略就是一个从state到action的函数。也就是说,有了策略,我们就知道每一个状态下应该选择什么样的action了。我们通常用符号π来表示策略。
一个策略的价值函数就是:

观察这个函数,我们可以发现这个函数其实可以写成迭代的形式。写成迭代的形式之后,我们就得到了著名的Bellman等式:

有了这些之后,我们就可以定义最佳策略的价值为:

这个就是最佳策略的价值函数,它是所有可能的策略的一个最大值。写成迭代形式就是:

到这里我们似乎离问题更进一步了。但是,我们来考虑一下我们可以获取到什么。我们可以不断的用各种策略重复玩游戏,当我们的游戏局有相当的数量时,我们就可以近似得到状态转移函数,进而可以直接计算这个值。理论上这是可行的。但是实际上很难操作,特别是在状态太多的时候。而且就是可以得到最佳策略的状态价值,也不能直接得到最佳策略,需要经过计算才行。
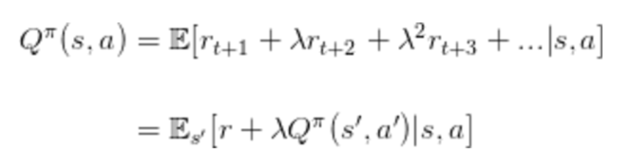
我们再进一步考虑。能不能计算一个动作的价值呢?如果说可以计算在某一个状态下,某一个动作的价值,是不是就可以直接获取到最佳策略了?最佳策略就是选择动作价值最大的那个动作。事实上状态动作价值(或简称动作价值),我们一般称之为Q值,我们可以定义动作价值Q如下:

写成迭代形式,也就是Q值的Bellman就是:

迭代算法
下面我们来看如何计算得到这个最佳Q值。
事实上我们只需要首先初始化每一个状态对应的价值为0,然后不停的玩游戏,进行迭代更新直到收敛就可以了。迭代算法如下:

对于一个状态空间比较小的MDP问题而言,我们直接用一个表来保存q值,然后迭代更新这个值就可以得到我们的最佳策略。这一算法是非常有效的。我这里不打算仔细分析这个算法。因为这个算法无法解决我们今天的问题。我们今天的问题状态空间太大了。所有可能的状态有255^(260*160*3)这么多种。
事实上,q值即是关于当前状态和动作的一个函数。既然这样,我们就可以想了,我们能不能用一个深度学习模型来模拟这个函数呢?当然可以,采用深度学习模型,我们可以将状态映射到一个动作价值上去。这就是深度强化学习啦!
深度强化学习
深度强化学习这个模型很早就有人研究,但是最早产生广泛影响力的是DeepMind公司在2013年发表的一篇论文。由于这篇论文的影响力,DeepMind也被google以数十亿美金收购。后来在2015年DeepMind进一步研究了这个模型,发表了一篇更清楚的论文:Human-level control through deep reinforcement learning。这篇论文就是讨论这个模型的。
这个模型使用的就是Q值迭代和神经网络的组合,所以算法全称为Deep Q Network,简称就是DQN。
核心算法如下:

这个算法有这样一些关键步骤:
- 初始化深度学习模型,并在这个模型生成的策略下进行游戏
- 存储游戏产生的数据,包括状态、动作、奖励、下一刻的状态
- 从存储的数据中抽样数据进行迭代计算,更新模型
这个算法用到的神经网络模型如下:

这个卷积神经网络的参数如下:

关于卷积神经网络的资料,请大家参考斯坦福大学的cs231n课程。
我们只看一下这里的损失函数。回想一下我们之前的Q值迭代公式。从公式中我们可以看出,我们的最佳Q值就是最大的下一步的最佳Q值加上执行动作之后立即得到的奖励的均值。事实上当模型最终收敛时,平均起来看,当前时刻的Q值就等于下一步的Q值加上执行动作之后立即得到的奖励。于是我们只需要让当前时刻的Q值去逼近下一时刻的Q值和立即奖励之和。于是就有了我们的损失函数:

探索
在上面的伪代码中还可以看到,在玩游戏时,我们会以一定概率随机选择action进行执行。为什么需要这样呢?
大家可以想象一下,如果没有这个随机,会出现什么情况?在我们的算法迭代一段时间之后,算法发现了一个不错的策略,之后,可能就一直按照这个策略来生成动作了。这是有问题的,因为可能有很多潜在的表现更好的策略我们可能根本没有尝试过。加上这个随机过程,就使得我们有了探索策略空间的能力。
代码
接下来我们来分析代码。
这里我们使用tensorflow框架来实现这个算法,创建网络的代码如下:
1 | def build_dqn_network(self): |
网络一共四层,和前面的图里面的一一对应。
1 | def build_optimizer(self): |
以上代码是关于loss函数的计算。可以看到,我们首先通过self.q * action_one_hot相乘得到当前action对应的q值,然后通过reduce_sum将其转化为一个数值。loss函数就是它和真实值的平方差。
1 | def observe(self, screen, reward, action, terminal): |
以上代码是自动玩游戏时的操作。可以看到,当游戏状态迁移之后,我们会保存当前的游戏数据。并在玩的局数到一定大小之后,就开始迭代更新网络。
1 | def q_learning_mini_batch(self): |
以上代码显示了网络更新过程。我们先根据当前模型计算出下一时刻的q值,然后在discount之后计算和当前的奖励之和,作为目标q值,这个值将被传入optimizer计算图进行计算。
完整的详细的代码请参考这里:https://github.com/devsisters/DQN-tensorflow
需要说明的是,这里的模型收敛是很慢的,通常需要10-30个小时才能收敛到一个好的状态。
总结
今天我们看到了深度神经网络和强化学习结合起来的例子。这个例子的实现,可以给我们很大的启示。看起来DL+RL让机器拥有了某种智能。这就是AI。可以说深度学习和和强化学习就实现了AI。
当前有很多对这个模型的优化措施,包括加快泛化速度,以及让一个游戏的学习结果泛化到其他游戏中去等。是当前的一大热门模型。
关于强化学习还有很多理论知识未涉及,如果想要完全理解文章里面的公式及算法,请参考伯克利大学的强化学习课程。
参考资料
本文参考资料都来自于互联网,主要的资料如下:
- 知乎专栏系列文章–DQN从入门到放弃:https://zhuanlan.zhihu.com/p/21421729
- 知乎专栏系列文章–150行代码实现DQN算法玩CartPole:https://zhuanlan.zhihu.com/p/21477488?refer=intelligentunit
- 伯克利大学强化学习课程:CS188 from Youtube
- devsisters的代码实现:https://github.com/devsisters/DQN-tensorflow